【漸化式】*入試頻度は星三つ判定!(★が多いほど頻出)

<1>★★★
【等差数列】
【等比数列】

「この2つの漸化式は、数列の一般項の公式と一緒に覚えておきましょう♪ 幅広く入試問題で使える漸化式です!」

<2>★★★
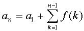
【階差数列】〔漸化式〕 
      〔一般項〕

「f(n)の部分は、nが入った式がきます! 一般項の式のほうは“n≧2”であることを忘れずに! 2つは必ずセットで覚えましょう♪」

<3>★★★
の変形をしてみよう。
でαの値を出して、と変形できる。

「漸化式の定番のパターンです! これを覚えてないと漸化式はクルクルパー状態です…(笑)」

<4>★★☆
の変形をしてみよう。
の解をα、βとして値を出し、下の2つの式に変形できる。


「3項間の漸化式です! 解法パターンはまったく同じなので、是非マスターしてください! 解法パターンを簡単に言えば、2つの式を解いて(<3>を使います)、を消去したらできあがりです! 解が重解をとってしまって式が1つしかないときは、その式を解いて(<3>を使います)、さらに出来上がった漸化式を解けばよいのです! 入試には、“3項間の漸化式”単独で出題されることがほとんどなので、これは知ってないと後悔する恐れありです…(汗)」


*『漸化式』に関しては、そのうちに、もっとたくさん紹介する予定です!