【数列】*入試頻度は星三つ判定!(★が多いほど頻出)
初項a1,公差d,公比r,末項l,項数n,和Snとおく。

<1>★★★
 
〔等差数列〕

〔等比数列〕


「一般項の式です! 基本ですねっ!」

<2>★★★
 
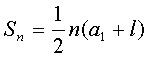
〔等差数列の和〕


〔等比数列の和〕
ただし、r≠1である。

「等差数列の和を求める公式は、2つありますね!場合によって、使い分けてください! 等比数列の和を求める公式を使うときは、r≠1であることを忘れずに♪」

<3>★★★
 



「一見当たり前に感じる式ではありますが、この条件式はよく使います! 一つの公式として覚えておくといいですねっ♪」

<4>★★★
 


「案外意識していない人が多いと思われる式ですが、これは相当使いますよ! 注意したいのは、n≧2のときとn=1で場合分けをしないといけないところです! ただし、an+1として1つずらした場合は、場合分けする必要はなくなりますね♪
an+1Sn+1Sn となる)」