【微分法】*入試頻度は星三つ判定!(★が多いほど頻出)

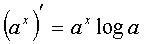
<1>★★★
 







「“微分法”の基本公式を並べました! もちろん、どれも必ず覚えてください♪」

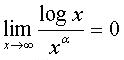
<2>★★★
 




「これを知っておくと、グラフを描くときに、最終的にどこに近づくのかを調べるときなどにとても便利です♪ 公式として覚えておくとよいと思います! 簡単に言えば、logx・ex・xaそれぞれ無限大に近づけたときの大小を比較すると、“ex〔超無限大!!〕>xa〔中無限大!〕>logx〔ミニ無限大〕となるので、この結果が得られるのです! 同じ無限大でも、違いをしっかり身につけましょう♪」