【指数関数・対数関数】*入試頻度は星三つ判定!(★が多いほど頻出)

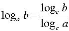
<1>★★★
 

「対数の問題であれば、よくこの公式を使っているでしょう! しっかり、左右どちらからも変換できるように覚えておきましょう♪」

<2>★★★
@

A

B

C


「どれも頻繁に使いますねっ! Cは“底の変換公式”と言います! @〜Cはどれも、複雑な対数の式を都合よく変形するためによく使います! 絶対、覚えましょう♪」