【図形と方程式】*入試頻度は星三つ判定!(★が多いほど頻出)

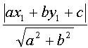
<1>★★★
点Pと直線の距離は、
 

「入試では、本当によく使われる公式です! 何が何でも覚えましょう♪」

<2>★★☆
上の点における接線の方程式は、


「これを使う問題は限定されますが(円が原点を通っていること)、いざ使うときに絶対覚えとかなければならない公式です♪」